来源:宝创日期:2023-06-30(666)

截至2023年1月1日,全球新冠病毒感染已累计报告超过6.6亿例确诊病例,其中超过669万人死亡。
虽然新冠病毒感染的主要临床表现是呼吸系统症状,但是目前认为新冠病毒感染可累及全身各个系统,其中包括心血管系统,有研究表明大约12%的新冠病毒感染住院患者可能存在心肌损伤。
在新冠病毒感染对心血管系统的影响,主要涉及三大类人群:
因新冠病毒或相关疫苗接种引发心肌损伤的患者;
新冠病毒感染对心血管疾病患者的影响;
新冠病毒感染对健康人心血管系统的影响。

图1 新冠病毒感染与心血管疾病
主要临床表现:
新冠病毒感染引起的心脏损伤在临床表现及严重程度方面个体差异较大,轻者只有轻微的疲劳感和呼吸急促,症状加重可表现为胸闷、胸痛、心悸和晕厥,危重症患者可导致心源性休克、恶性心律失常甚至死亡。
新冠病毒感染引起心肌损伤的首发症状以非特异性的急性症状为主,此阶段属于病毒诱发的固有免疫反应阶段,包括发热、乏力、咳嗽、咽痛、鼻塞、流涕、味觉/嗅觉减退、腹泻等,症状持续1周甚至更长。
病程进展到第1-4周时(即适应性免疫反应阶段,伴随大量细胞因子及炎症趋化因子产生),可出现较为广泛的心脏受累,患者可出现呼吸困难、胸闷、胸痛、心悸、极度乏力和晕厥等症状,一般是该类患者就诊的主要原因。

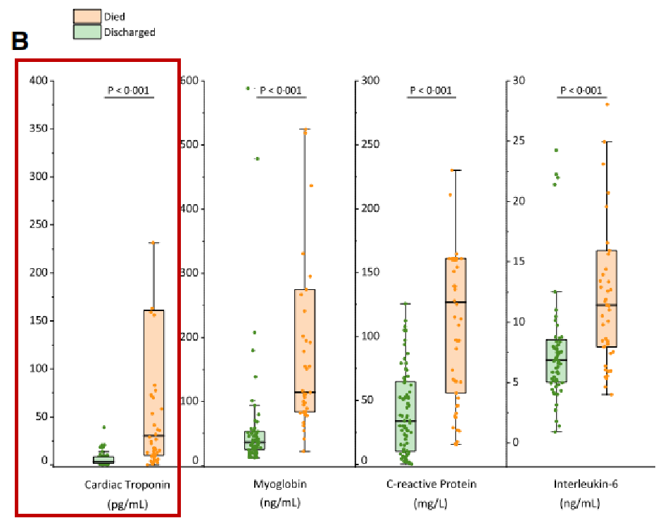
对于确诊新冠病毒感染并伴有心前区不适的患者,应首先完成cTnI/cTnT水平的检测。cTnI/cTnT高反映了新冠病毒感染引起的心肌损伤,与急性心肌梗死相比,新冠病毒感染导致的心肌炎cTnI/cTnT升高无明显波峰,其水平的持续升高提示心肌损伤持续存在,预后不良(图2)。

图2 提示确诊新冠患者预后的关键实验室参数[1]
BNP/NT-proBNP水平升高提示心功能不全,对于判断心肌损伤的进展及疗效与转归具有辅助价值。

图2 新冠病毒感染相关心肌炎的诊断流程
新冠病毒疫苗接种有可能引起心肌损伤、心肌炎,甚至是暴发性心肌炎的风险,但现有数据表明极少接种者会发生心肌损伤罕见。其中大多数患者出现于接种第二剂新冠病毒疫苗后,且多为年轻男性。在疑似心肌炎病例中,86%的患者在接种新冠病毒疫苗2-3天后出现胸痛,部分患者合并肌痛、乏力、发热、心悸、呼吸困难、疲劳等临床表现。cTnI/cTnT升高通常在接种疫苗后第3天达到最高水平。约三分之二的患者BNP和NT-proBNP水平轻中度升高。大多数患者C反应蛋白水平升高,并随着cTnI/cTnT的降低而降低。

图3 新冠肺炎疫苗相关心肌炎患者的临床症状[2]
本共识涵盖新冠病毒感染及疫苗接种引发的心肌损伤、新冠病毒感染对心血管疾病患者的影响以及新冠病毒感染的其他心血管系统相关问题的指导建议。其中与新冠病毒相关的实验室检查部分重点提及了
——cTnI/cTnT、BNP/NT-proBNP、CRP、D-二聚体等检测项目。
宝创生物.新冠感染与心脏疾病.相关检测指标:


宝创生物针对疫情防控需求,可提供覆盖发热门诊、危重症ICU等多场景的免疫POCT解决方案:

参考文献
[1]Ruan Q et al. Clinical predictors of mortality due to COVID-19 based on an analysis of data of 150 patients from Wuhan, China. Intensive Care Med. 2020 May
[2]韩拓等.新型冠状病毒肺炎疫苗相关心肌炎