来源:宝创日期:2023-06-29(472)
主动检测 扩大治疗 消除乙肝危害
据中国CDC统计[1],2021年我国病毒性肝炎患者新发人数122.62万人,相较于2020年同比增长7.7%,且病毒性肝炎的诊断和治疗尚不理想,距离WHO“2030年消除病毒性肝炎作为公共卫生危害”的目标仍有不小的差距。
因此,急需进一步扩大病毒性肝炎筛查人群,采用更精准、更灵敏的核酸检测方法,及时发现需要抗病毒治疗的患者,尽早开始治疗,从而提高诊断率和治疗率。为此中华医学会肝病学分会等更新形成了2022年版《慢性乙型肝炎防治指南》,为慢性乙型肝炎的预防、诊断和治疗提供重要依据。

扩大筛查人群并强调采用高灵敏试剂检测HBV DNA
在筛查方面,2022年版《慢性乙型肝炎防治指南》提出在不涉及入托、入学和入职的健康体格检查或就医情况下,将筛查由“鼓励”调整为“应该”,将乙肝筛查范围从“特殊人群”扩大到“一般人群”,希望更广范围的筛查HBsAg。
同时在2019版指南的基础上对高灵敏HBV DNA 检测的最低下限进行了说明:10~20 IU/mL。并新增推荐意见,强调采用高灵敏且线性范围大的HBV DNA 检测方法(定量下限为10~20 IU/mL),筛查和治疗理念更为积极。

在筛查方面,2019版指南未对HBV DNA检测下限提出具体建议;而2022年版明确提出:对HBsAg阳性者建议采用检测下限为10-20 IU/mL的高灵敏实时定量 PCR 进行检测,以便扩大HBsAg阳性的治疗人群,对低病毒载的患者也能尽早开始抗病毒治疗,防止疾病进展。
一项针对2019-2020年间中国40家医院的636名初始慢乙肝患者抗病毒治疗的横截面研究显示[2],抗病毒治疗超过24周后,使用普敏HBV DNA检测(最低检测下限:20-1000IU/mL不等)结果为阴性的CHB患者,经高敏HBV DNA检测试剂(最低检测下限:20 IU/mL)复查后发现25.3%的患者未能获得完全性病毒学应答。(表1)
表1 普敏HBV DNA检测阴性人群的高敏检测结果

因此,过往多采用普敏试剂的检测模式,并不足以评估患者抗病毒治疗后的真实病毒学应答情况,且容易造成误诊而延误治疗。高敏HBV DNA检测可更科学准确判断抗病毒应答情况,从而及时启动或调整治疗方案。
更积极处理低病毒血症,降低肝纤化、HCC等风险
《2022年指南》将低病毒血症患者(LLV)定义为:接受ETV、TDF、TAF或TMF药物治疗且依从性好的 CHB 患者,治疗 48 周及以上,HBV DNA水平为20-2000 IU/mL的情况为低病毒血症。
中国一项纳入21614例慢乙肝患者的大规模流行病学调研显示[3],我国有20%的ETV经治患者为LLV。且国内外多项研究结果提示[4],抗病毒治疗后低病毒血症与CHB肝纤维化进展、发生失代偿期肝硬化及肝细胞癌(HCC)风险密切相关。
一项纵向研究共纳入239例接受恩替卡韦(ETV)治疗的慢性HBV感染(CHB)患者[5],对其在治疗的全过程进行检监测。发现治疗78周后LLV患者(HBV DNA:20-200 IU/mL)占到了30%。
进一步单因素和多因素分析显示,治疗78周后HBV DNA水平是否<20 IU/mL,是患者肝纤维化进展的独立危险因素(OR=4.839.P=0.019,表2),即LLV显著增加肝纤维化进展风险。
表2 患者纤维化进展的单变量和多变量分析

在一项针对韩国HBV相关失代偿性肝硬化患者的10年观察研究中[6],经单因素和多因素分析后显示,持续病毒学应答(MVR,HBV DNA<20 IU/mL)能独立预测失代偿性肝硬化患者的长期死亡率(OR=2.30,P<0.001,表3)。即MVR的患者比LLV患者增加了10年的生存时间。
表3 长期死亡率相关的因素分析

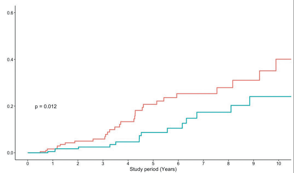
一项历史回顾性研究分析了627例未经治疗的CHB伴代偿性肝硬化患者[7],比较了LLV(HBV DNA:15-2000IU/mL)和HBV DNA 未检出患者发生HCC风险。通过多变量分析显示,LLV组的HCC风险显著高于未检出组(调整后的OR:2.36,P =0.012,图1)。

图1 LLV组和未检出组的HCC进展风险比较
注:红线为LLV组的风险曲线;蓝线为未检出组的风险曲线。
2022版指南对低病毒载量患者(LLV)的抗病毒药物治疗进行了修改,对治疗48周后HBV DNA检测仍>20IU/mL的LLV患者进行换药治疗,强调更积极地处理低病毒血症患者。

LLV患者数量多,临床危害大,使得LLV的诊治成为目前抗病毒治疗的热点和难点问题。研究显示,当患者经抗病毒治疗后HBV DNA降至10-20 IU/mL时,其进展为HCC等肝病的风险将显著降低。因此在治疗过程中要注意定期复查,精准的检测HBV DNA水平是评估抗病毒治疗疗效、优化LLV患者诊疗的重要基石。而采用高敏HBV DNA检测方法,才能有效助力临床更及时地发现LLV患者,从而遏制肝纤维化进展、降低HCC发生风险。


